Cats2D Multiphysics > Overview > Parameter continuation

Parameter continuation methods

Cats2D employs sophisticated parameter continuation methods to enable the user to quickly traverse the solution space of highly nonlinear problems.

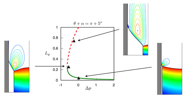
Below is shown an example of a turning point in detached vertical Bridgman growth signaling a loss of stability for wide gap states (this work is reported in A. Yeckel and J.J. Derby (2011) “Existence, stability, and nonlinear dynamics of detached Bridgman growth states under zero gravity,” J. Crystal Growth, 314, 310–323).

DVB turning point

This turning point, shown again on the left in the plots below, is part of a higher order transcritical bifurcation (middle plot) that signals an exchange of stability among solution branches (right plot).

DVB transcritical bifurcation

Accessing these solution branches to map out the behavior of the solution space was accomplished using the continuation methods described in mathematical detail in Chapter 6 of the user manual. Without these advanced tools it is virtually impossible to traverse the solution space of problems of this type.